Thứ hai, ngày 01 tháng 12 năm 2025
Thống kê hồ sơ
THỐNG KÊ TRUY CẬP

Hôm nay:

Hôm qua:

Trong tuần:

Tất cả:

Đánh giá thái độ phục vụ của cán bộ tiếp nhận và trả kết quả hồ sơ giải quyết TTHC của huyện ?
Cập nhật lúc: 06/05/2020

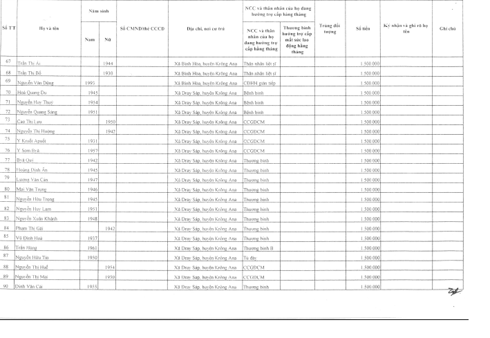
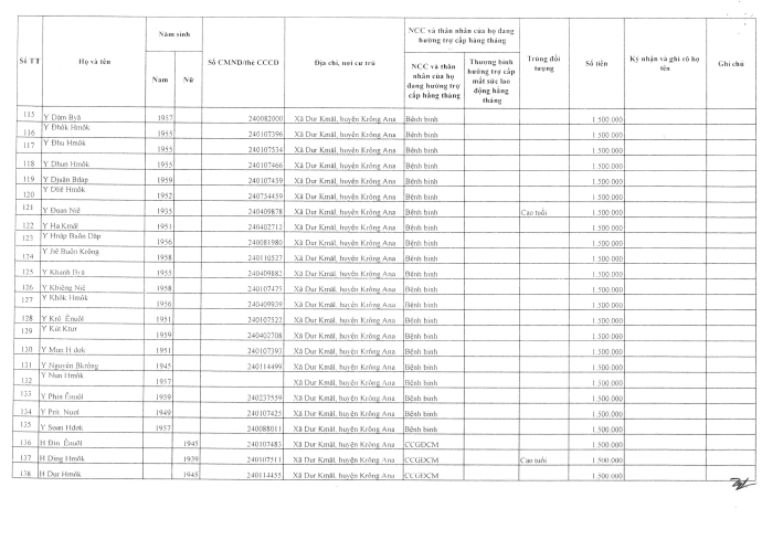
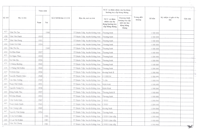
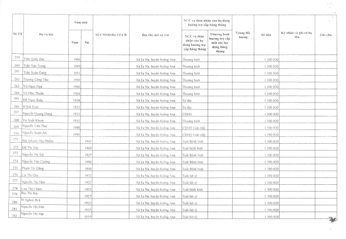
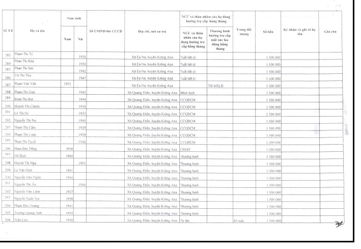
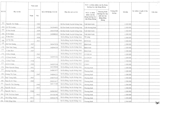
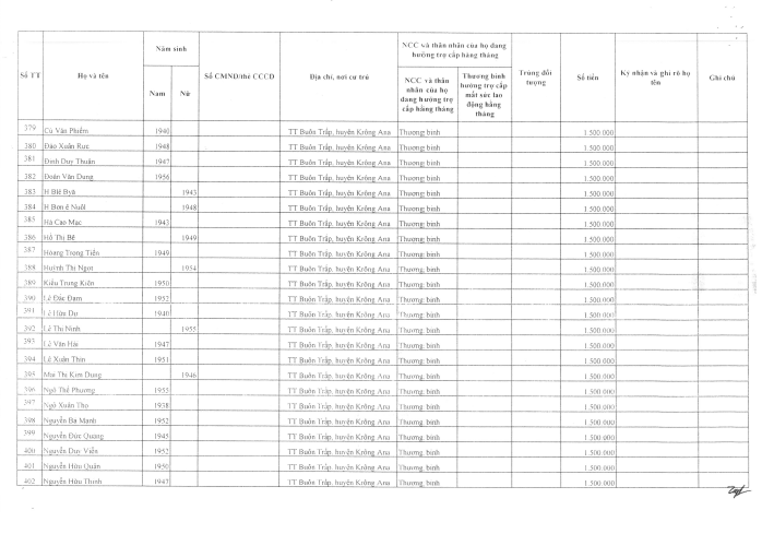
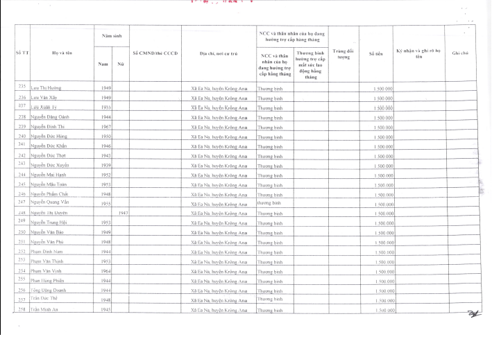
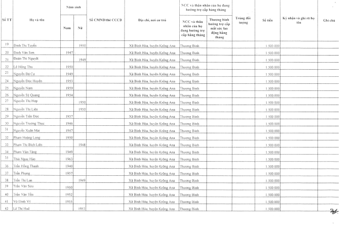
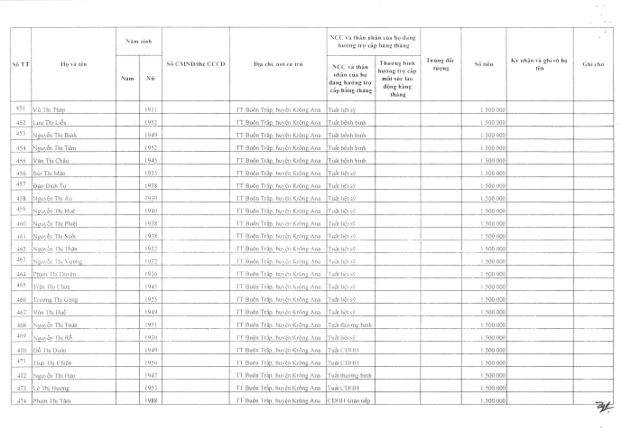
danh sách hỗ trợ người có công với cách mạng gặp khó khăn do đại dịch Covid-19 của huyện Krông Ana, tỉnh Đắk Lắk

UBND tỉnh Đắk Lắk
Lấy link copy
In Gửi Email

Bài viết liên quan

Các chuyên mục khác

ipv6 ready
Chung nhan Tin Nhiem Mang